Zero Coupon And Implied Rate
PURPOSE
To explain the relationship between Zero Coupon and Implied Forward Rate.
WHY IS THIS IMPORTANT?
Estimating future cash flow arising from an expected interest rate is a component part in the valuation instruments such as fixed rate bonds and interest rate swaps. Such estimates are derived from the zero coupon curve in the form of implied forward rate.
I. DERIVE ZERO COUPON CURVE, GIVEN IMPLIED FORWARD RATES
In this example, we shall assume that the implied forward rate is known. From this, we can compute the equivalent zero coupon rate.

For this information, $1.00 invested at the start will be have a value at the end of each period as given above.
For example
At the end of Yr 1, the value will be
1 + (1 * r)
= 1 + (1 * 2.4123%)
= 1.02412300
At the end of Yr 2, the value becomes
1.02412300 * (1.02412300 + 2.5566%)
= 1.05030675
etc…
Based on a future value of 1.05030675 at the end of Yr 2, we can compute the expected yield on a two-year zero coupon yield (
). This is expressed using the formulae

In general, the
can be computed as follows…
![]()
From this we can compute the ZCR for each Year as follows…

For example
![]()
An investor will be indifferent between investing at a rate of 2.4845% for 2 years and investing at a rate of 2.4123% and reinvesting the maturing proceeds at 2.5567%, the given implied forward rate, in the second year.
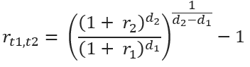
II. DERIVE IMPLIED FORWARD RATES FROM ZERO COUPON RATE
In reality, the Zero Coupon Rate is derived not from the implied forward rate but boot strapped from the yield of Treasury Bill/Bonds and relevant fixed income instruments.
Based on the relationship in I above, we can derive the implied forward rate from a given Zero Coupon Bond using the following formula:

is the forward rate between term
and term
,
is the time length between time 0 and term
(in years)
is the time length between time 0 and term
(in years)
is the zero-coupon yield for the time period (0,
)
is the zero-coupon yield for the time period (0,
)


Note that the above implied forward rate derived from the above method is the same as those used to derive the Zero Coupon Curve from Section I above.
CHANGE HISTORY
