Computation of Bond YTM
PURPOSE
To explain how YTM is computed for a bond[1] in the CS Lucas system.
WHY IS THIS IMPORTANT?
Allows users to verify the formulae and methodology used by CS Lucas to compute the bond YTM.
BACKGROUND
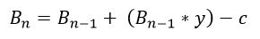
In a period, the relationship between the opening and closing value of a bond can be expressed as follows:
![]()
Where
Bn Bond Price at the start of period n
y Period yield
c Coupon income in period n
FORMULA AND EXAMPLE
To compute the yield on a bond transaction, the CS Lucas system assumes that it will be held to maturity. The YTM is the constant yield for each day in the period to maturity that will accrete/ amortize the purchase price to par value (100). See Appendix 1 for Report 8001.
Example: (Accretion – Purchase below par value)


Where
B = A * YTM /365
C = c/365
D = A + B – C
The closing price bond price at the end of each day (D) is carried forward to opening price (A) of the next period.
Goal seek formula is used to iterate the values of YTM so that the model of 451 rows will accrete the closing bond price to par value of 100 on maturity date.
Example: (Amortization – Purchase above par value)

APPENDIX 1 FOR REPORT 8001

[1] This memorandum uses terminology in the context of a bond instrument. However, the concepts are equally applicable to borrowing and debt instruments.
FREQUENTLY ASKED QUESTIONS
CHANGE HISTORY

